Samochody elektryczne

Zastanawiasz się nad zakupem samochodu elektrycznego? Nie do końca kojarzysz czym jest hybryda czym hybryda plug-in i czym różni się od samochodu elektrycznego? A może boisz się zbyt małych przebiegów oferowanych przez samochody elektryczne? Ten wpis powinien rozjaśnić Ci wiele spraw ze świata elektromobilności.

1. Różne rodzaje samochodów elektrycznych (EV – ang. Electric Vechicle)

Hybryda = Silnik spalinowy + Silnik elektryczny.

Samochody hybrydowe jeżdżą używając obydwu silników zamiennie i samochód sam decyduje kiedy używa silnika elektrycznego, kiedy spalinowego, a kiedy silnikiem elektrycznym wspomaga silnik spalinowy – szczególnie w ruchu miejskim. W niektórych samochodach możliwe jest włączenie trybu jazdy elektrycznego, jednak przebiegi, które można uzyskać są niskie i wynoszą 2-4 km, a do tego występuje ograniczenie prędkości maksymalnej na silnikach elektrycznych i zwykle wynosi ono 40 – 50 km/h. Akumulatory tych pojazdów ładowane są podczas hamowania, gdzie następuje odzysk energii elektrycznej, natomiast nie ma możliwości naładowania akumulatorów w inny sposób.  Plusy pojazdów hybrydowych ukazują się w mieście, gdzie zużycie paliwa jest znacznie mniejsze niż zużycie paliwa w samochodach spalinowych. W trasie te auta zachowują się jak normalne samochody spalinowe.

Hybryda Plug-in = Silnik spalinowy + silnik elektryczny + możliwość ładowania.

Pojazdy PHEV, czyli Hybrydy Plug-in (ang. Plug-in Hybrid Electric Vechicle). Jest to zawsze samochód, który ma na pokładzie silnik spalinowy (benzyna lub diesel) i elektryczny, jednak występują różne tryby pracy tych silników. Są pojazdy PHEV, gdzie silnik elektryczny napędza oś tylną, a silnik spalinowy oś przednią. Silniki te mogą pracować oddzielnie np. tylko silnik spalinowy lub tylko silnik elektryczny, ale także mogą pracować razem i silnik elektryczny wspomaga silnik spalinowy. Przykładowy pojazd to Volvo V60 Plug-in.

Rozwinięciem tego pomysłu jest samochód który ma dwa silniki, ale podczas jazdy silnik spalinowy może dodatkowo doładowywać akumulatory podczas jazdy. Taki model hybrydy zaprezentowało Mitsubishi Outlander PHEV.

Kolejnym pomysłem na hybrydę jest instalowanie silnika spalinowego i elektrycznego, jednak to silnik elektryczny przekazuje moc na koła, a silnik spalinowy działa na zasadzie generatora. Więc gdy wyczerpie się energia zgromadzona w akumulatorach, silnik spalinowy włączy się, jednak to nie on będzie generował moc przekazywaną na koła. Będzie on środkiem do wytworzenia energii elektrycznej, która zasili silnik elektryczny i częściowo akumulatory. Należy zaznaczyć, że jest to najbardziej ekonomiczne wykorzystanie silnika spalinowego. Przykładem takiego pojazdu jest Opel Ampera.

Oczywiście w hybrydach plug-in możemy ładować akumulatory poprzez zewnętrzne zasilenie ładowarki. Niektóre pojazdy plug-in pozwalają nawet na użycie szybkich ładowarek DC!

Zasięg na silniku elektrycznym jest różny w zależności od pojazdu i stylu jazdy. Zwykle wacha się między 30, a 80 km korzystając z silnika elektrycznego.

Samochód elektryczny = Silnik elektryczny + możliwość ładowania

Samochody elektryczne, czyli samochody EV (bądź BEV – ang. Battery Electric Vechicle), to pojazdy, które nie posiadają silników elektrycznych. Ich zasięg zależy od pojemności akumulatorów wyrażanej w kWh (kilo-wato-godzinach), rzadziej w Ah (ampero-godzinach), mimo, że obydwie formy są poprawne, to pierwsza jest przyjaźniejsza dla użytkownika. Samochody te dają jednak kompletnie inne odczucia z jazdy w porównaniu do aut spalinowych. Zachęcam do doświadczenia tego samemu i skorzystaniu na początku choćby z car-sharingu.

2. Zasięg pojazdów elektrycznych.

Jest to decydujący czynnik, ale też największa obawa jeśli stajesz przed zakupem samochodu elektrycznego. Wszystko zależy od tego ile i jak planujesz dziennie jeździć. Według Joint Research Centre (Europejskiej komisji naukowej), ponad 80% kierowców w Unii Europejskiej w ciągu dnia przejeżdża mniej niż 65 km. Nie skreślaj od razu samochodu elektrycznego patrząc pod kątem jednorazowego przejazdu z Zakopanego do Gdańska, czy wakacyjnego wyjazdu do Chorwacji. Jeśli jednak w ciągu dnia pokonujesz większe dystanse, bądź często wypada Ci dalszy wyjazd, rozważ hybrydę plug-in.

Pamiętaj, że wpływ na zasięg pojazdów elektrycznych ma:

  • Pojemność akumulatorów, która różni się w zależności od samochodu, a czasami także od wersji danego modelu.
  • Pogoda – ekstremalnie niska lub wysoka temperatura będzie w stanie ograniczyć zasięg pojazdu elektrycznego. Samo ogrzewanie i chłodzenie samochodu zużywa sporo energii elektrycznej. Spokojnie, akumulatory Ci się nie przegrzeją. W pojazdach elektrycznych stosowane jest ich chłodzenie.
  • Styl jazdy – sposób w jaki jeździsz wpływa na to jak daleko zajedziesz. Najlepszym sposobem jest jazda bez gwałtownych przyspieszeń i hamowań. Pamiętaj, że samochód elektryczny odzyskuje energię podczas hamowania, więc samo odpuszczenie pedału przyspieszenia powoduje już dość silne hamowanie.

Jakie przebiegi można uzyskać jeżdżąc w sposób normalny samochodem elektrycznym ?

Poniżej przedstawię Ci kilka popularnych modeli samochodów elektrycznych oraz ich przebiegi. Czasy, gdzie samochód elektryczny przejeżdżał ledwo ponad 100 km i trzeba było szukać punktu ładowania dawno minęły.

Przebiegi samochodów elektrycznych

  • Tesla Model S85d – 440 km – ale ok, to Tesla, a wiadomo, że w świecie pojazdów elektrycznych Tesla przoduje, więc zejdźmy trochę na ziemię.
  • Kia Niro EV 64 kWh – 445 km
  • Kia Niro EV 39,2 kWh – 289 km
  • Peugeot e-208 50 kWh – ok. 300 km
  • Nissan Leaf 40 kWh – do 270 km
  • Nissan Lead e+ 62 kWh – do 385 km
  • BMW i3 – 260 km
  • Smart EQ For Four – 153 km.

Jak widzisz wszystko zależy od pojemności akumulatorów i stylu jazdy. Na przykład Peugeot e-208 na stronie konfiguracyjnej posiada ciekawy symulator przebiegu. Przy jeździe spokojnej, do 70 km/h przy 20oC samochód jest w stanie przejechać 354 km, natomiast przy jeździe dynamicznej, mocno przyspieszając do 130 km/h i ostro hamując, przy temperaturze -10oC  przebieg samochodu będzie wynosił już tylko 122 km.

Jak najszybciej policzyć przybliżony przebieg jaki można zrobić pojazdem elektrycznym? Tak jak w samochodach spalinowych przeciętne zużycie benzyny przyjmuje się jako 8 l /100 km, tak przy samochodach elektrycznych przeciętne zużycie energii elektrycznej można przyjąć na poziomie 20 kWh / 100 km.  Czyli przebieg jaki spokojnie możesz zrobić np. Kią Niro z akumulatorem o pojemności 64 kWh wynosi 64*0,2= 320 km. Mówimy o spokojnej jeździe bez Eco-drivingu. Polski Youtuber przeprowadził test długodystansowy i przejechał Kią Niro z Warszawy do Zakopanego, czyli 418,5 km na jednym ładowaniu, przy średnim zużyciu energii na poziomie 14,3 kWh / 100 km.

3. Stacje ładowania.

Oczywiście zastanawiasz się pewnie gdzie i jak naładujesz taki pojazd i w ogóle jakie są rodzaje złączy.

Spokojnie, o tym było już mówione. Odwiedź wcześniejsze wpisy:

Mapa stacji ładowania samochodów elektrycznych
Ładowanie samochodów elektrycznych – #1 Ładowanie AC
Ładowanie samochodów elektrycznych – #2 Szybkie ładowarki DC

A w skrócie? – ładowarek jest dużo.

Część jest płatna, część darmowa. Rodzaje złącz? Też nie ma problemu. Do ładowania AC używane są Type 2 lub rzadziej Type 1. Większość stacji ładowania posiada wbudowane gniazdo Type 2, lub przewód z końcówką Type 2, więc jeśli kupisz samochód z gniazdem Type 1, powinieneś zaopatrzyć się w przejściówkę Type 1 – Type 2. Jeśli chodzi o ładowanie DC, to w Europie spotkamy złącza CSS COMBO 2 bądź CHAdeMO. Wiele stacji szybkiego ładowania wyposażona jest w dwie tego typu końcówki. Bez obaw.

Czy jeśli podjadę swoim samochodem pod ładowarkę 100 kWh to mój akumulator 50 kWh naładuje się od 0 do 100 % w 30 minut?

No niestety nie.

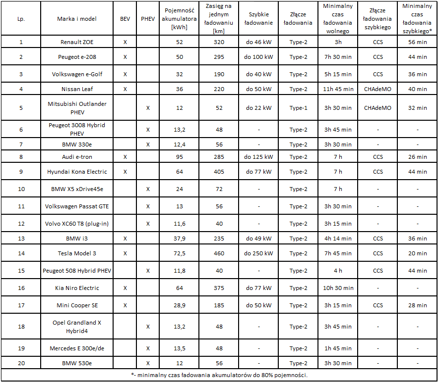
Poniżej znajduje się tabela z dwudziestoma najchętniej kupowanymi pojazdami elektrycznymi w UE w 2020 roku.

Warto przeanalizować sobie maksymalne moce ładowania, które są dostępne. Często maksymalna moc dostępna jest tylko w małym „przedziale procentowym” naładowania akumulatora. Sama moc ładowania zależy od kilku czynników:

  • Moc ładowarki
  • Maksymalna moc z jaką mogą być ładowane akumulatory w Twoim pojeździe
  • Temperatura akumulatorów.

Temperatura akumulatorów litowo-jonowych stosowanych w pojazdach elektrycznych jest stale monitorowana. Gdy osiągnie zbyt dużą wartość, zmniejszany jest prąd ładowania ze względu na korekcyjny współczynnik temperatury, a tym samym ograniczana jest moc ładowania. Z tego powodu w tabeli przedstawiono minimalne (najkrótsze czasy ładowania).

Ładowanie w domu

Ładując pojazd elektryczny w domu masz zawsze pewność, że będziesz miał dostępne wolne miejsce ładowania i nie będziesz musiał oczekiwać, aż ktoś zakończy ładowanie pojazdu. Poza tym masz zawsze naładowany samochód zanim ruszysz w drogę. Samochód możesz ładować ze zwykłego gniazdka jednofazowego korzystając z przenośnej ładowarki o mocy do 3,7 kW. W zależności od mocy przyłączeniowej i instalacji jaka jest w budynku możesz zainstalować ładowarkę o mocy 11 kW, a nawet 22 kW. Tylko do własnego użytku.

Ładowanie na publicznych stacjach

Jeśli w okolicy masz darmową ładowarkę, to z pewnością będzie to rozwiązanie dużo tańsze niż ładowanie samochodu w domu, jednak będzie mniej wygodne. Większość darmowych ładowarek, to ładowarki AC, a czas ładowania może wynosić kilka godzin. Jest to dobre rozwiązanie, gdy jesteś w urzędzie lub na zakupach, ale zdecydowanie lepiej, gdy na noc podłączysz samochód, a rano w garażu będzie stał naładowany i czekał na rozpoczęcie podróży. Jeśli natomiast w pobliżu masz darmową szybką stacje ładowania, to jesteś szczęściarzem. Bo prawdopodobnie w niecałą godzinę będziesz w stanie naładować do ok. 80% pojemności akumulatora, nie płacąc za to ani złotówki.

Jednak zaczynają pojawiać się nowe stawki ładowania. Przykładowo LOTOS ma zamiar pobierać 24 zł za jednorazowe ładowanie, a GreenWay pobiera 1,89 zł / kWh przy szybkich ładowarkach DC, a 1,14 zł / kWh przy ładowaniu AC.

4. Koszty i obsługa.

Rzeczywiście, kupując pojazd elektryczny musisz zapłacić od 15 % do 40 % więcej niż za pojazd spalinowy. Nowy VW Golf w wersji Style kosztuje ok. 100 000 zł, natomiast e-Golf kosztuje ok. 141 000 zł. Czy ta się opłaca? Jeśli przez 150 000 km nie wydacie złotówki na energię elektryczną, to tak, w tedy się opłaca. Samochody elektryczne należy mimo wszystko traktować jako ciekawostkę. Ponieważ te auta są droższe niż samochody spalinowe.

Koszt przejechania 100 km.

Ładując w domu koszt energii wynosi ok. 0,6 zł / kWh. Czyli przejechanie 100 km wyniesie Cię ok. 12 zł. Jest różnica w porównaniu do samochodu spalinowego, prawda? A jeśli będziesz korzystał z darmowych ładowarek, koszt przejechania 100 km wyniesie 0 zł.

A okresowa obsługa, typu wymiana olejów, filtrów, rozrządu wynosi 0 zł.

Masa części, która jest w samochodzie spalinowym i może ulec awarii jak turbina, sprzęgło, wtryski itd. Ciebie nie dotyczy, bo tych części nie ma. Nawet klocki i tarcze hamulcowe zużywają się znacznie wolniej niż w samochodzie spalinowym.

Akumulatory – przecież to padnie po 5 latach!

No właśnie nie do końca. Akumulatory trakcyjne stosowane w pojazdach elektrycznych to zupełnie inna technologia niż akumulatory kwasowo-ołowiowe. Peugeot w nowych pojazdach elektrycznych daje gwarancje na akumulatory na 8 lat lub 160 000 km przebiegu, to już o czymś świadczy.

W Internecie można znaleźć wiele informacji odnośnie samochodów elektrycznych z dużymi przebiegami. Na przykład znana jest Tesla Model S, która ma ponad 800 000 km przebiegu i nadal sprawne akumulatory.

W 2018 roku na forum Nissana Leaf pojawiło się zdjęcie licznika, który wybił 309 017 km i miał ponad 50% pojemności akumulatorów, jednak należy zaznaczyć, że ze względu na brak chłodzenia akumulatory w tym modelu padały dość szybko. Czyli mówimy o trwałości akumulatorów na poziomie 300 tysięcy kilometrów, w samochodzie w którym nie stosowano żadnego ich chłodzenia i użytkowanym w ciepłym klimacie. W mojej opinii, to bardzo dobry rezultat.

Nissan Leaf – ponad 300 000 km przebiegu.

5. Doświadczenia z jazdy.

Możesz przeczytać wiele artykułów. Możesz obejrzeć setki filmików. Ale to nie odda przyjemności z jazdy samochodem elektrycznym. Samochody te są ciche, szybkie, proste w obsłudze, nie emitują żadnych zanieczyszczeń i dają przyjemność z jazdy.

Najlepszą drogą do zrozumienia samochodów elektrycznych jest przejechanie się nimi!

Motoryzacja wkracza w nową erę – erę pojazdów elektrycznych.

Samochody elektryczne. Źródło: GoUltraLow

No responses yet

Dodaj komentarz

Twój adres e-mail nie zostanie opublikowany. Wymagane pola są oznaczone *